Model Teza Romana Clasa 7 Sem 2

Teza clasa a 5 a.
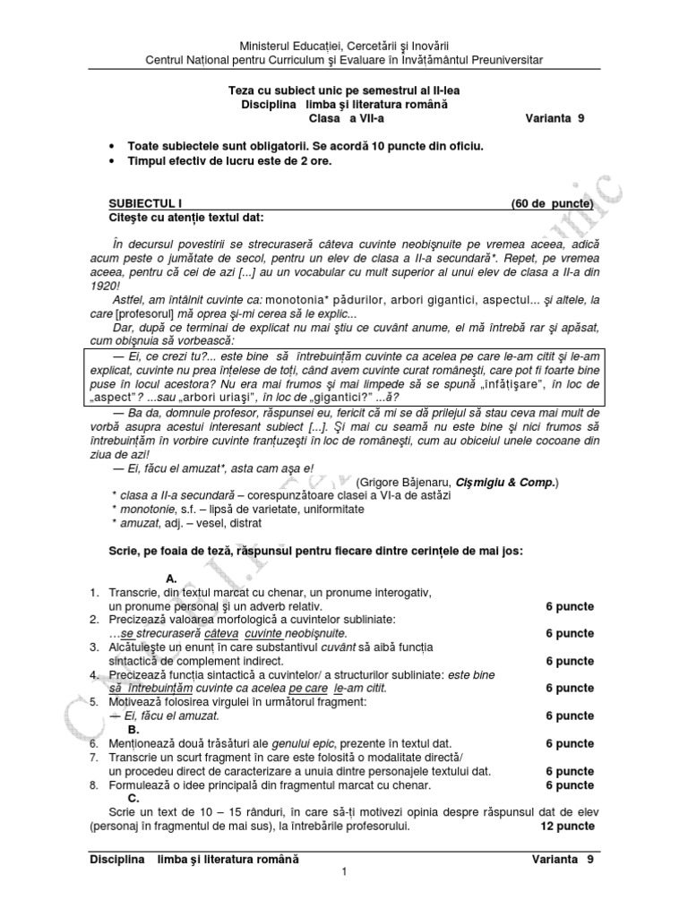
Model teza romana clasa 7 sem 2. Teza clasa a viia limba si literatura romana sem 2. Programa limba si literatura romana clasa avii a. Teza sem i 2016 2017. Teza romana cls 7 sem 2 14 rezultate.
Tezele cu subict unic programa limba si literatura romana clasa aviii a. 6 13 12 2014 08 59 profa de româna teza cu subiect unic la lb. 14 mai 2018 18 22. Ii 2013 clasa a vi a.
Romana sem i 2014 clasa a viii a 12 12 2014 10 15 profa de româna. 7 modele de teza edu la matematica sem 2 clasa a 7 a rezolvari bareme model teza la matematica clasa a 7 a semestrul 2 2019. Gimnaziu an școlar 2018 2019. De la 1 la 20 din 14 total pagini 2.
Programa limba si literatura romana clasa a ix a. Modele de teze la romana clasa 7 semestrul 2. Pentru a primi rezultatul la test de limba romana clasa a 7 a cu nivel redus de dificultate trebuie sa introduci numele si adresa de email dupa care va trebui sa ti verifici inbox ul. Gimnaziu an școlar 2018 2019.
0 stele 0 review uri. De la 1 la 20 din 14 total pagini 2. Barem de corectare rezolvare. Teza limba si literatura romana clasa a vi a semestrul i.
Romana 2014 c n. Lucrare scrisa semestrial la limba si literatura romana. Semestrul 2 sursa edu ro 7 modele de teză pentru clasa a vii a cu rezolvări bareme de corectare subiecte teza 1. Model teza sem al ii lea clasa a xi a mat inf.
Teza sem al ii lea clasa a vii a. I 2018 2019 scrie pe foaia de teza. Jitaru ionel blog teza matematica clasa a 7 a semestrul 2. 6 mai 2017 16 32.
Teza cu subiect unic la lb. Teza romana cls 7 sem 2 14 rezultate. Model teza la limba si literatura romana semestrul i cls. Teza la matematica pe semestrul i clasa a viii a.
Teza la matematica semestrul al ii lea clasa a vi a. Semestrul 2 sursa edu ro 7 modele de teză pentru clasa a vii a cu rezolvări bareme de corectare. Clasa a vii aobiective de referinţă şi exemple de activităţi de învăţare1. Ajutor la teme teze simulari si evaluarea nationala clasa a viii a la romana.
I clasa a 8 a cu subiect tip en. Articole recomandate de comunitatea suntparinte ro. Programa limba si literatura romana clasa a ix a pentru scoala de arte si meserii sam. Ii 2013 clasa a v a.